Hoje vamos resolver juntos alguns exercícios sobre velocidade média. Antes, porém, vamos revisar um pouco este conceito. Acompanhe!
Este é um assunto que cai praticamente todos os anos nos vestibulares e no Enem. Embora não seja uma matéria complexa, sua aplicação é muito vasta. Então, mais do que revisar a teoria, é importante praticar.
Alguns conceitos importantes:
Velocidade escalar instantânea (v): trata-se da velocidade registrada em um instante de tempo (t), como acontece no velocímetro do carro.
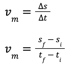
Velocidade escalar média (vm): é a velocidade registrada para um intervalo de tempo (Δt), em que também ocorre uma variação de espaço (Δs).
Para isso, temos as fórmulas:

Lembrando que velocidade (v) no Sistema Internacional é medida em metros por segundo (m/s).
Para calcularmos a velocidade média escalar em trechos, temos a seguinte lógica. Observe a figura:
Vamos supor que uma questão nos diz que o carro vá de A para B, com uma velocidade média vm1, percorrendo uma distância Δs1 em um tempo Δt1. Já de B para C, a velocidade média (vm2), a distância (Δs2) e o tempo (Δt2) mudaram.
Caso a questão nos cobra calcular a velocidade média total (de A para C), a conta é simples:

O que acontece é que, em muitos casos, as provas não costumam fornecer o deslocamento. Nesse caso, temos que voltar à fórmula da velocidade média e isolar o Δs:
Δs = Vm . Δt
Se substituirmos isso na fórmula anterior, podemos calcular a velocidade média total sem a necessidade de termos o deslocamento. Ficamos com:

Agora sim, vamos praticar. Acompanhe e bons estudos!
Exercícios sobre velocidade média
Questão 1
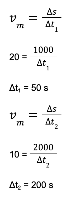
(UFPE) Um automóvel vai de P até Q, com velocidade escalar média de 20 m/s e, em seguida, de Q até R, com velocidade escalar média de 10 m/s. A distância entre P e Q vale 1 km, e a distância entre Q e R, 2 km. Qual é a velocidade escalar média em todo o percurso em m/s?
a) 15.
b) 12.
c) 9.
d) 10.
e) 20.
RESOLUÇÃO:
Vimos que para calcular a velocidade média total basta dividir o deslocamento total pelo intervalo de tempo total:

Repare que a questão já nos forneceu as distância (1 km e 2 km). Basta, portanto, descobrimos o Δt. E, para isso, só precisamos utilizar a mesma fórmula para cada trecho:

Então:

RESPOSTA: B
Questão 2
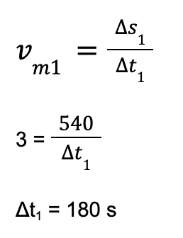
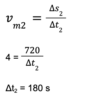
(Unicamp) O passeio completo no complexo do Pão de Açúcar inclui um trecho de bondinho de aproximadamente 540 m, da Praia Vermelha ao Morro da Urca, uma caminhada até a segunda estação no Morro da Urca, e um segundo trecho de bondinho de cerca de 720 m, do Morro da Urca ao Pão de Açúcar. A velocidade escalar média do bondinho no primeiro trecho é e, no segundo, é v1 = 10,8 km/h e, no segundo, é v2 = 14,4 km/h. Supondo que, em certo dia, o tempo gasto na caminhada no Morro da Urca somado ao tempo de espera nas estações é de 30 minutos, o tempo total do passeio completo da Praia Vermelha até o Pão de Açúcar será igual a
a) 33 min.
b) 36 min.
c) 42 min.
d) 50 min.
RESOLUÇÃO:
Veja que a velocidade dada no enunciado está em km/h. Temos que transformar em m/s. Para isso, basta dividirmos por 3,6. Então:

Vamos fazer o cálculo da velocidade média para descobrir o tempo gasto em cada trecho:

Repare que o tempo do trecho de caminhada (vamos chamar de ΔtC) já nos foi fornecido: 30 minutos. Deveríamos converter esse tempo para segundos, mas veja que as alternativas são dadas em minutos. Então vamos manter assim.
Seguindo, temos o segundo trecho do bondinho.

Note que 180 segundos é igual a 3 minutos. Como já tínhamos o tempo de caminhada de 30 minutos, basta somarmos:
Δttotal = 30 + 3 + 3
Δttotal = 36 minutos
RESPOSTA: B
Questão 3
(Unesp adaptada) Considere uma situação hipotética, extremamente simplificada, na qual, do epicentro de um terremoto na Terra são enviadas duas ondas, uma transversal que viaja com uma velocidade de, aproximadamente, 4,0 km/s, e outra longitudinal, que viaja a uma velocidade de, aproximadamente, 6,0 km/s. Supondo que a estação sismográfica mais próxima do epicentro esteja situada a 1200 km deste, qual a diferença de tempo transcorrido entre a chegada das duas ondas no sismógrafo?
a) 600 s.
b) 400 s.
c) 300 s.
d) 100 s.
e) 50 s.
RESOLUÇÃO:
A questão é simples. Basta voltarmos à nossa fórmula para calcular a velocidade média e descobrirmos os tempos de cada onda.

Assim, o tempo total é dado por:
Δttotal = Δt1 – Δt2
Δttotal = 300 – 200
Δttotal = 100 s
RESPOSTA: D
Espero que você tenha entendido um pouco melhor sobre Velocidade Média. E se quiser ajuda para melhorar seu nível de Física em outras matérias, entre em contato comigo e escolha o curso de Física mais adequado para você!

LEIA MAIS
✅ Aceleração Escalar média: Fórmula e Exercícios
✅ Como estudar mecânica para vestibular Paulista
✅ Exercícios focados na FUVEST, UNICAMP, UNESP E UNIFESP
Me acompanhe nas redes sociais: curta a minha página no Facebook, me siga no Instagram, se inscreva no Youtube e participe do meu canal oficial no Telegram.
