Fala, pessoal. Nesta aula, vamos fazer uma revisão sobre instrumentos ópticos.
Tipos de instrumentos ópticos
Existem dois tipos de instrumentos ópticos que são cobrados nos vestibulares. São eles:
Instrumentos de projeção
A imagem final é real e invertida (projetada) em um anteparo. Exemplo: máquina fotográfica e filmadoras.
Instrumentos de observação
A imagem final é virtual e vista diretamente pelo observador. Exemplos:
É neste tipo de instrumento óptico que vamos focar.
Lupa ou microscópio simples
Veja a figura:
Quando falamos em lupa ou microscópio simples, temos algumas características importantes:
- Trata-se de uma lente convergente;
- O objetivo deve estar entre o foco e a lente;
- A lente forma uma imagem virtual, direita e maior;
- Para que isso aconteça, a distância do objeto (o) deve ser menor que a distância focal (f).
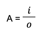
Nesta matéria, é comum que as provas cobrem qual é o aumento da imagem em uma determinada lupa. Para isso, precisamos dividir o tamanho da imagem (i) pelo tamanho do objeto (o):

Microscópio composto
Observe:
Um microscópio trabalha com duas lentes: uma mais próxima ao olho do observador (ocular) e outra mais próxima ao objeto (objetiva).
Aqui, precisamos nos atentar:
A lente objetiva produz uma imagem real, invertida e maior do que o objeto:
Por sua vez, a lente ocular tem a função de atuar como uma lupa, ou seja, uma lente de aumento. Como vimos, quando um objeto está na distância focal de uma lente convergente, ela atua como uma lente de aumento, gerando uma imagem real, direita e maior.
No entanto, a imagem gerada pela lente objetiva (I1) fará o papel de objeto para a lente ocular. Veja como a luz se comporta:
Veja que os raios que atravessam a lente são divergentes. Quando isso acontece, a imagem que o observador enxerga está no prolongamento desses raios. Portanto, a imagem gerada é virtual e invertida em relação ao objeto:
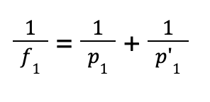
Para os cálculos dessa matéria, precisamos pensar p, p’, distância focal. Note:
p1: distância do objeto para a lente objetiva;
f1: distância focal da lente objetiva;
p’1: distância entre a lente objetiva a imagem gerada por ela (I1).
Note que esses elementos nos permitem a utilização da Equação de Gauss para a primeira lente:

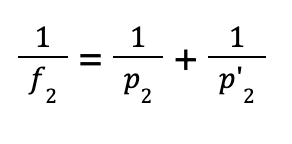
Agora, lembre-se de que a imagem I1 serve, ao mesmo tempo, de imagem para a lente objetiva e de objeto para a lente ocular. Portanto:
- p2: distância entre o objeto até a lente (nesse caso, I1 será igual a o2);
- f2: distância focal da lente ocular;
- p’2: distância entre a lente ocular e a imagem gerada por ela (I2).
Da mesma forma, podemos escrever uma Equação de Gauss para a lente 2:

Embora a Equação de Gauss possa facilitar as coisas, é preciso atenção: a imagem I2 é virtual; e quando isso acontece, o p’ é negativo.
As questões envolvendo essa matéria também podem pedir para que você calcule o tamanho do microscópio. Nesse caso, temos que calcular a distância da lente objetiva para a lente ocular. Via de regra, isso pode ser feito pela fórmula: D = p’1 + p2.
Outra possibilidade é a de calcular o aumento que o microscópio composto gerou. Para isso, podemos dividir os cálculos em duas partes. Lembre-se que, no estudo da Óptica, trabalhamos com duas fórmulas para aumento:

Então, se quisermos calcular o aumento que a lente objetiva tem, podemos fazer:

Já para calcularmos o aumento da lente ocular, fazemos:

Com essas duas informações, podemos calcular o aumento total do microscópio composto por meio da fórmula: A = Aobjetiva . Aocular
Luneta astronômica
Diferentemente dos microscópios, a luneta (ou telescópios de refração) é feita para que se possa enxergar objetos distantes (no infinito ou p1 → ∞). Na Física, esses objetos são chamados de impróprios. Nesse caso, a lente objetiva apresenta distância focal maior que no microscópio.
Veja:
Repare que, quando o objeto está no infinito, os raios chegam à lente paralelos entre si. Agora lembre-se de que, quando os raios chegam paralelos, eles saem pelo foco. É o que acontece aqui, formando a imagem I1, que está no plano focal da lente:
E aqui a história se repete: a imagem que a lente objetiva forneceu servirá como objeto para a lente ocular. No entanto, nas lunetas, a imagem é gerada muito mais longe:
Para calcular o tamanho da luneta, utilizamos a mesma fórmula dos microscópios compostos: D = p’1 + p2.
E atenção, porque muitos alunos erram este cálculo: para descobrirmos o aumento visual na luneta astronômica, a fórmula é diferente:

Espero que você tenha entendido um pouco melhor sobre instrumentos ópticos e os cálculos que podem fazer. Para conferir essa aula com resolução de exercícios, assista à minha live:
SAIBA MAIS
👉 Reflexão da Luz em espelho Plano
👉 Resolva comigo a Prova de Física da UFU
👉 Exercícios de Ondulatória com Gabarito
E se quiser ajuda para melhorar seu nível de Física em outras matérias, entre em contato comigo e escolha o curso de Física mais adequado para você!
Me acompanhe nas redes sociais: curta a minha página no Facebook, me siga no Instagram, se inscreva no Youtube e participe do meu canal oficial no Telegram.