Centro de Massa é o ponto onde se pode considerar concentrada toda a massa do sistema. Para corpos homogêneos, regulares e de espessuras constantes, o centro de massa coincide com o centro geométrico do corpo. Em outras palavras, isso quer dizer que a força peso (P) pode ser representada no centro do corpo.
Centro de massa: conceito
Veja abaixo:
Já para corpos como um retângulo ou quadrado, o centro de massa acontece no encontro das diagonais:
Outra situação, mas mais difícil de acontecer, é precisarmos calcular o centro de massa de corpos em três dimensões, como um cubo. Nesse caso, ele está no encontro das retas que saem de vértices diametralmente opostos:
Em outras situações, para encontrar o centro de massa, temos que usar um pouco de Matemática. É o caso do centro de massa de um triângulo. Nesse caso, ele estará no encontro das medianas (baricentro):
Centro de massa e centro de gravidade
O centro de massa do ser humano, por exemplo, costuma ficar na região do abdome. Por isso, quando fazemos exercícios que precisamos ficar em equilíbrio, precisamos deixar nosso centro de massa bem alinhado:
Já para corpos não homogêneos ou irregulares, o centro de massa não coincide com o centro geométrico:
Importante: embora centro de massa e centro de gravidade sejam coisas diferentes, quando estamos em um local em que o campo gravitacional é constante, eles coincidem.
Para encontrarmos o centro de massa desses corpos, precisamos pendurá-los em diferentes pontos e traçar uma reta a cada posição. No encontro delas estará o centro de massa do corpo, onde está a força peso. Veja o experimento:
Centro de massa em uma dimensão
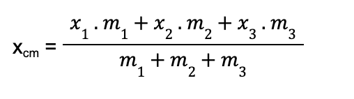
Vamos calcular o centro de massa em uma reta para descobrir onde podemos representar o peso do conjunto, como se todas as massas estivessem em um lugar só. Observe:
Neste sistema, colocamos um corpo de massa m1, um corpo de massa m3 e outra com massa m2. Cada uma delas está em um posição diferente no eixo x (x1, x2 e x3). Para podermos calcular a posição do centro de massa desse conjunto, vamos usar a média ponderada:

Importante: quando temos um sistema de apenas dois corpos distribuídos simetricamente e eles possuem a mesma massa, o centro de massa ficará exatamente no meio.
Centro de massa em duas dimensões
Veja a figura:
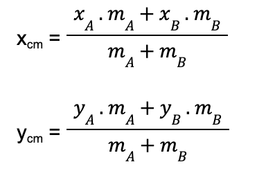
Quando falamos de duas dimensões, primeiro vamos descobrir qual é a posição x do centro de massa no eixo horizontal. Para isso, já sabemos:

Então, em um sistema de duas dimensões, a posição do centro de massa é dada por um par ordenado: (xcm ; ycm).
No entanto, nem sempre os exercícios vão trazer corpos distribuídos no plano. Eles podem colocar chapas. Observe:
Vamos supor que o corpo cinza é A com uma massa mA, e o corpo amarelo é B com uma massa mB. Supondo que esses corpos sejam homogêneos, para calcular o centro de massa do sistema, podemos, primeiramente, calcular o centro de massa de cada um separadamente.
Como são corpos homogêneos e retangulares, o centro de massa está no encontro das diagonais. E isso vai nos dar uma posição referente tanto no eixo x quanto no eixo y:
Ao fazer essa decomposição, podemos trabalhar com os diferentes pontos como no caso anterior:

Note: nesses casos, pode acontecer de o centro de massa do sistema estar fora dos corpos. Não estranhe se encontrar exercícios assim!
Centro de massa no espaço tridimensional
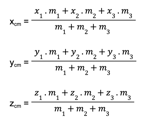
Um sistema de três dimensões segue a mesma lógica, isto é, devemos fazer os cálculos para as três coordenadas para localizar o centro de massa no espaço. Importante dizer que é muito difícil que isso caia em uma prova.

Condição de Tombamento de corpos apoiados
Veja a figura:
Esse corpo é bidimensional, possui uma altura e uma largura. Sabemos que, se ele for homogêneo, o centro de massa está no encontro das diagonais. A linha de ação do peso (P), que atua para baixo, passa pela base em que o corpo está apoiado:
Mas o que aconteceria se inclinássemos um pouco esse corpo? Ele cairia ou voltaria para a mesma posição?
Tudo vai depender da linha de ação do peso. Se a reta onde está o peso ainda passa pela base original de apoio, o corpo retorna à posição inicial:
Se girássemos o corpo um pouco mais, o corpo ficaria com a linha de ação de peso passando bem por cima de um dos seus vértices (quina). Ou seja, o peso já não passa pela base original de apoio. Com isso, ele está na iminência de tombamento:
Por fim, se girarmos esse corpo um pouco mais, a linha de ação do peso não passa mais pela base original de apoio. Se o soltamos, ele termina de tombar:
Posição do centro de massa
Vamos ver agora a influência do ponto de massa no risco de tombamento de um corpo. Veja a figura:
Quando o centro de massa do corpo está baixo, a linha do peso passa pela base e, quando tentarmos tombar o corpo, vai ser muito difícil que a linha de ação do peso saia da base.
Já se pegarmos esse mesmo corpo e colocarmos o centro de massa dele mais alto, o risco de tombamento é muito maior. Se girarmos esse corpo, a linha de ação do peso já não passa mais pela base de apoio do corpo. Observe:
Tipos de equilíbrio
Existem três tipos de equilíbrio:
Equilíbrio estável: um pequeno deslocamento do corpo resulta em tendência de retorno à posição de equilíbrio inicial
Equilíbrio instável: um pequeno deslocamento do corpo provoca tendência de se afastar dessa posição.
Equilíbrio indiferente: um pequeno deslocamento do corpo provoca tendência de equilíbrio em uma nova situação.
Para sabermos em que tipo de equilíbrio um corpo se encontra, basta supor que o mexemos um pouco e imaginar se ele voltaria ou não ao ponto original. É o que pode ser observado nas figuras acima.
–
Espero que você tenha entendido um pouco melhor sobre os conteúdos e cálculos de centro de massa. E se quiser ajuda para melhorar seu nível de Física em outras matérias, entre em contato comigo e escolha o curso de Física mais adequado para você!

SAIBA MAIS
👉 Exercícios de Energia Mecânica
👉 Exercícios resolvidos sobre vetores
👉 Princípio de Arquimedes ou Lei do Empuxo
Me acompanhe nas redes sociais: curta a minha página no Facebook, me siga no Instagram, se inscreva no Youtube e participe do meu canal oficial no Telegram.
