Hoje vamos abordar três assuntos: Equação de Torricelli, as propriedades que todo movimento uniformemente variado (MUV) tem e também vamos aprender a calcular a velocidade média dentro do MUV.
Então me acompanhe e bons estudos!
Equação de Torricelli
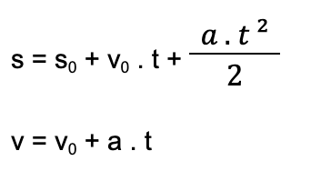
Veja as fórmulas abaixo:

Nós podemos encontrar a Equação de Torricelli quando retiramos a grandeza tempo (t) das fórmulas acima. Para isso, basta isolá-lo:

Com essa nova fórmula que encontramos, devemos agora substituir a variável tempo (t) na primeira equação. Então, após todas as contas, teremos:
v² = v0² + 2.a.Δs
Assim, chegamos à famosa Equação de Torricelli que, destaca-se, não tem tempo (t). Portanto, quando você se deparar com uma questão que traz velocidade inicial de um corpo, sua velocidade final, aceleração e Δs, você já sabe que tem que usar esta fórmula.
Exemplo de exercício de Equação de Torricelli
Um corpo parte do repouso com aceleração constante a = 3 m/s² e atinge velocidade v1 após percorrer a distância D. Determina a velocidade instantânea do corpo se, a partir deste ponto, percorre um distância três vezes maior que a anteria, com a mesma aceleração.
Repare que temos duas situações nesta questão. Primeiro, temos os dados do que ocorre entre v0 e v1 na distância D. Depois, temos o que acontece entre v1 e a velocidade pedida (chamaremos de v2) em uma distância que vale 3D.
Portanto, precisamos fazer dois cálculos. Começaremos aplicando Torricelli na primeira situação:
v1² = v0² + 2a . Δs
v1² = 0 + 2 . 3 . D
v1² = 6D
Ainda não sabemos para o que exatamente podemos utilizar este resultado. Mas vamos guardá-lo.
Em seguida, temos duas opções: ou usamos Torricelli para todo o trecho percorrido (4D) ou utilizamos a fórmula apenas para o segundo trecho, cujo deslocamento é 3D. No entanto, devemos nos atentar que a velocidade inicial será v1.
Façamos, então, a conta considerando o trecho total:
v2² = v0² + 2a . Δstotal
v2² = 0 + 2 . 3 . 4D
v2² = 6 . 4D
Note que não multiplicamos o 6D pelo 4D, pois encontramos anteriormente 6D equivalente justamente ao v1². Ou seja, podemos substituir:
v2² = 4 . v1²
v2 = 2 . v1
Então, encontramos que, quando o corpo se desloca três vezes em relação ao trecho anterior, ele dobra de velocidade.
Análise gráfica
Observe as figuras:
Vamos supor que um corpo parte do repouso (V0 = 0) e vai acelerar a = 2 m/s². Se isso acontecer, a equação da velocidade desse corpo seria:
v = v0 + a . t
v = 2 . t
Portanto, repare que, como estamos falando de um movimento uniformemente variado (MUV), sabemos que a velocidade cresce de maneira uniforme. Veja os valores no gráfico (velocidade x tempo):
E onde chegamos com isso? Se quisermos calcular as distâncias percorridas pelo corpo na primeira imagem, podemos fazer isso por meio da área do gráfico. Isso porque em um gráfico de velocidade x tempo, o Δs é numericamente igual à área da figura formada no gráfico.
Tomemos como exemplo o primeiro trecho. A área a ser calculada será a de um triângulo retângulo. Portanto:

Note, agora, que não precisaríamos calcular tudo novamente para outros trechos. Isso porque trata-se de um MUV, então basta analisarmos o gráfico. Veja:
Note que na área que corresponderia ao trecho 2 teríamos três triângulos retângulos (as bolinhas azuis no gráfico). Portanto, se o trecho 1 deu um deslocamento de 1 metro, o trecho 2 terá um deslocamento de 3 metros.
Se seguirmos os cálculos e análise gráfica, chegaremos que o trecho 3 corresponde a 5 metros. Perceba, portanto, que trata-se de uma progressão aritmética (PA): 1, 3, 5, 7, 9…
Assim, podemos afirmar que, no MUV, as distâncias percorridas a cada segundo formam uma PA, cuja razão é a aceleração do movimento (2 m/s² no nosso exemplo).
Velocidade média no MUV
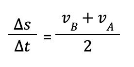
Vamos utilizar os mesmos gráficos:
Vamos supor que um exercícios nos dê a velocidade no primeiro ponto (vA) e também e velocidade no último ponto (vB).
Já sabemos que a distância entre A e B pode ser calculada pela área do gráfico. Observe, no entanto, que dessa vez a figura formada no gráfico é um trapézio, cuja base menor é dada por vA, a base maior por vB e a altura por um intervalo de tempo (entre tA e tB, ou seja, Δt).
Sabemos que Δs será numericamente igual à área desse trapézio:

Atenção agora:

Entendeu? Acabamos de determinar que no MUV, pelo fato de o gráfico ser uma reta, a razão de Δs por Δt é dada por uma média aritmética simples. Ou seja, sempre que tivermos a velocidade final e a velocidade inicial em um MUV, podemos descobrir a velocidade média fazendo… uma média!
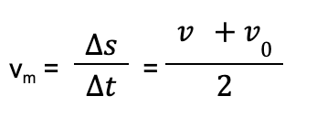
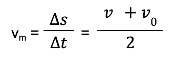
Colocando em uma fórmula:

E isso é importante porque a fórmula não necessita do valor da aceleração. Então, essa fórmula é excelente para quando não sabemos a aceleração. Mas note que isso só vale quando estamos falando de apenas um MUV. Se houver dois movimentos, não será possível utilizar essa lógica.
Exemplo de exercício de análise gráfica de MUV
Um corpo descreve movimento uniformemente variado com o gráfico posição versus tempo dado a seguir. Determine:
a) a velocidade inicial, v0
b) a aceleração do movimento
a) Repare que todas as fórmulas que podemos utilizar tem exatamente as incógnitas que ele nos pede. Portanto, precisamos analisar. Se estamos em um MUV, sabemos que a velocidade média pode ser medida por:

Observe agora que o vértice da parábola representa o ponto de inversão do movimento, ou seja, v = 0. Então vamos utilizar a fórmula apenas no trecho inicial do gráfico:

b) Nesta questão, já podemos utilizar a fórmula diretamente (novamente no primeiro trecho do gráfico):
v = v0 + a . t
0 = 15 + a . 4
a = – 3,75 m/s²
Espero que você tenha entendido um pouco melhor sobre MUV e Equação de Torricelli e os cálculos que podemos fazer. E se quiser ajuda para melhorar seu nível de Física em outras matérias, entre em contato comigo e escolha o curso de Física mais adequado para você!
SAIBA MAIS
👉 Os melhores filmes e séries para quem gosta de Física
👉 Exercícios sobre Análise Dimensional
👉 Tipo de instrumentos ópticos
Me acompanhe nas redes sociais: curta a minha página no Facebook, me siga no Instagram, se inscreva no Youtube e participe do meu canal oficial no Telegram.