Lançamento oblíquo: projeções
Vamos ver como o Movimento Uniformemente Variado (MUV) acontece e como o Movimento Uniforme (MU) acontece no Lançamento Oblíquo. Temos esses dois movimentos porque, quando um corpo é lançado, se não houver resistência do ar, a única força que atua no corpo é seu peso (P). Ou seja, é a força resultante (FR).
Então:
FR = P
m . a = m . g
a = g
Isso nos mostra que, no Lançamento Oblíquo, a massa do corpo não exerce influência. Ao lançar um corpo mais leve ou mais pesado, a altura atingida é a mesma.
Como a gravidade (g) é uma aceleração na vertical, isso faz com que, nos nossos cálculos, tenhamos que calcular em duas partes: o movimento da vertical, que tem aceleração, e o movimento da horizontal, que é uniforme.
Observe a figura:
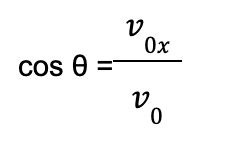
Note que não podemos calcular o movimento a partir da velocidade inicial (v0), pois, justamente, temos os movimentos vertical e horizontal. Assim, temos que decompor essa velocidade em duas partes, projetando o vetor no eixo x e no eixo y, conforme a figura mostra.
Isso nos permite calcular as componentes da velocidade a partir da figura formada no gráfico. Veja que a velocidade inicial e suas projeções nos eixos formam triângulos retângulos.
Portanto, se pegarmos o cosseno do ângulo θ, basta dividirmos o cateto adjacente (v0x) pela hipotenusa (v0). Então, a componente horizontal de vo se dá por:

v0x = v0 . cos θ
Já para a componente vertical (v0y), o mesmo acontece, mas devemos utilizar o seno:

v0y = v0 . sen θ
Importante: tudo o que precisarmos calcular nesta matéria, vamos calcular ou somente na vertical ou somente na horizontal, lembrando que, horizontalmente, utilizamos Movimento Uniforme (MU).
Note que é possível utilizar a mesma estratégia nos outros pontos da trajetória. Para isso, é importante lembrar de traçar o vetor da velocidade (v) sempre tangente à trajetória da parábola e atentando-se para que Vx tenha o mesmo tamanho que V0x, pois é constante. E, novamente, a figura formada será de um triângulo retângulo.
Portanto, para calcular a velocidade em outro ponto da trajetória, devemos utilizar PItágoras: v² = vx² + vy²
Lançamento Oblíquo: Características
Vamos desenvolver o MUV na vertical e o MU na horizontal. Veja a figura:
Note que o corpo lançado forma uma trajetória em arco de parábola. Na horizontal, como é movimento uniforme, o corpo anda distâncias iguais em tempos iguais, pois não há aceleração. Já na vertical, o corpo vai subindo cada vez menos até atingir o ponto mais alto da trajetória.
O ponto mais alto da trajetória, chamamos de ponto de inversão no sentido do movimento. É neste ponto que o vetor Vy se anula (Vy = 0).
Importante: isso não quer dizer que a velocidade é nula, pois quando falamos de velocidade, estamos falando da velocidade total, composta pelas componentes horizontal e vertical. No ponto de inversão, portanto, somente a componente vertical se anula.
Por sua vez, a componente horizontal da velocidade nunca muda. Ou seja, o Vx inicial será igual em toda a trajetória. No ponto de inversão, uma vez que não teremos Vy, podemos chamar Vx de velocidade mínima do movimento.
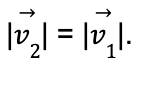
Repare também que, se o corpo sair de um ponto e retornar ao mesmo nível horizontal de lançamento, o intervalo de tempo na subida será igual ao da descida (Δtsubida = Δtdescida).
Quando o corpo passar por um ponto qualquer com uma velocidade tangente à trajetória na subida (v1) e depois passar pela mesma altura na descida, a velocidade no segundo ponto (v2) terá o mesmo módulo: 
Lançamento Oblíquo: Equações.
Vamos ver as fórmulas do MUV e o MU para um lançamento oblíquo
Movimento Uniformemente Variado na vertical
Na vertical, precisamos orientar a trajetória. Sabemos que aceleração é a gravidade (g). Porém, precisamos observar o gráfico para saber se será positiva ou negativa. Quando orientamos nossa trajetória para cima, teremos que: ay = -g
Note que esse valor negativo vale tanto para o movimento de subida quanto de descida. Não podemos mudar o sinal da aceleração, pois ela é constante. Apenas a velocidade vertical pode mudar, pois ela altera seu sentido: na subida, vy fica para cima, na descida fica para baixo. Como temos aceleração na vertical, a componente vy varia, diminuindo durante a subida e aumentando na descida.
Outra equação que podemos utilizar é a equação dos espaços. Lembre:

No entanto, neste caso, precisamos adaptar tudo para a componente vertical:

Movimento Uniforme na horizontal
Na horizontal não temos força, ou seja, é movimento é uniforme. A velocidade, portanto, é constante (vx = v0x). E como se trata de MU, podemos utilizar a fórmula:

Isolando:
Δsx = vx . t
Lembrando que Δsx é chamado de alcance na horizontal. Para calculá-lo, é necessário colocar o tempo de subida e o de descida (que são iguais).
Lançamento Oblíquo: Propriedades
Vamos ver as fórmulas que podemos utilizar para calcular o tempo de subida, altura máxima e alcance na horizontal.
Para calcular o tempo de subida, ou seja, o tempo que o corpo demora para atingir a altura máxima depois de lançado, podemos utilizar:
vy = v0y – g . ts
0 = v0 . sen θ – g . ts
g . ts = V0 . sen θ

Repare que o tempo de subida será diretamente proporcional à velocidade de lançamento.
Agora, vamos calcular a altura máxima (H) do corpo na trajetória. Para isso, podem usar Torricelli:

Note que se dobrarmos a velocidade inicial de lançamento do corpo, a altura máxima que ele alcança vai quadruplicar.
Por fim, vamos calcular o alcance horizontal (A). Vamos lá:

Repare que essa fórmula pode ser utilizada para calcular, por exemplo, com qual ângulo devemos lançar um objeto para que ele alcance a maior distância possível.
Para que o alcance seja máximo, se 2θ tem que ser máximo. E o ângulo com maior seno é 90º. Então, o alcance máximo é atingido quando o lançamento se dá com um ângulo de 45º.
Exemplo de Exercício de Lançamento Oblíquo
No lançamento de um projétil do solo, a velocidade inicial (v0 = 100 m/s) forma com a horizontal um ângulo θ tal que sen θ = 0,80; cos θ = 0,60. Despreze a resistência do ar. Determine
a) o tempo de subida do projétil;
Esta questão pode ser resolvida com a fórmula: vy = v0y – g . t
Para isso, devemos lembrar se considerar que g = 10 m/s². Além disso, devemos calcular a componente vertical:
v0y = v0 . sen θ
v0y = 100 . 0,8
v0y = 80 m/s
Retomando:
vy = v0y – g . ts
0 = 80 – 10 . ts
ts = 8 s
b) a altura máxima atingida e o alcance horizontal;
Para altura máxima, podemos usar:
vy² = v0y² – 2 . g . Δsy
0 = 80² – 2 . 10 . H
H = 320 m
Já para o alcance, vamos utilizar:
Δsx = vx . t
Mas, antes, precisamos descobrir o valor de vx:
vx = v0 . cos θ
vx = 100 . 0,6
vx = 60 m/s
Retomando:
Δsx = 60 . (2 . 8)
A = 1280 m
c) o módulo da velocidade mínima do movimento
A velocidade mínima do movimento acontece no ponto mais alto. Então, como vimos, calcular a velocidade mínima nada mais é do que calcular vx:
vx = v0 . cos θ
vmin = 60 m/s
Espero que você tenha entendido um pouco melhor sobre os conteúdos e cálculos de Lançamento Oblíquo. E se quiser ajuda para melhorar seu nível de Física em outras matérias, entre em contato comigo e escolha o curso de Física mais adequado para você!
SAIBA MAIS
👉 MUV e Equação de Torricelli
👉 Energia potencial gravitacional
👉 Como estudar sobre Eletricidade para vestibulares paulistas
Me acompanhe nas redes sociais: curta a minha página no Facebook, me siga no Instagram, se inscreva no Youtube e participe do meu canal oficial no Telegram.
