Fala, pessoal, tudo certo? Neste post, vamos resolver alguns exercícios sobre força elétrica. Antes, porém, vamos revisar alguns conceitos e fórmulas importantes para essa disciplina. Acompanhe!
Força elétrica
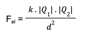
Força elétrica é a atração ou repulsão entre duas cargas gerada por um campo elétrico. Ela pode ser calculada pela fórmula:

- k: constante eletrostática do meio. No vácuo, seu valor é 9.109 N.m²/C².
- Q1: módulo do valor da carga do corpo 1.
- Q2: módulo do valor da carga do corpo 2.
- d: distância entre as duas cargas.
A atração entre cargas ocorre quando elas possuem sinais opostos (positivo e negativo), ou quando apenas uma delas é neutra. Já a repulsão se dá quando as cargas têm o mesmo sinal (positivo+positivo ou negativo+negativo).
Exercícios resolvidos sobre Força Elétrica
Questão 1
(PUC-RS) A figura a seguir representa duas pequenas cargas elétricas atraindo-se.
Em relação a esses dados, é correto afirmar que:
a) As duas cargas são positivas.
b) A carga Q1 é necessariamente negativa.
c) O meio onde se encontram as cargas não influi no valor da força de atração
d) Em módulo, as duas cargas são necessariamente iguais.
e) As duas cargas atraem-se com forças iguais em módulo.
RESOLUÇÃO:
a e b) Erradas. Se as cargas estão se atraindo, temos duas situações possíveis:
- uma carga é positiva e outra é negativa; ou
- uma carga é neutra e a outra é carregada.
c) Errada. O meio influencia, sim, no valor da força de atração, porque a fórmula desta força é:

O meio é representado justamente pela letra k, que é a constante eletrostática do meio.
d) Errada. As cargas podem ser diferentes.
e) Certa. Isso se explica pela 3ª Lei de Newton, que diz que as forças são de ação e reação.
RESPOSTA: E
Questão 2
(Mackenzie-SP) Nos pontos A e B do vácuo ( k0 = 9.10⁹ N.m/C²) são colocadas as cargas elétricas puntiformes qA = 8.10-6 C e qB = 6.10-6 C, respectivamente. A força de repulsão entre as cargas tem intensidade de 1,2 N. A distância entre os pontos A e B é:
a) 20 cm
b) 36 cm
c) 48 cm
d) 60 cm
e) 72 cm
RESOLUÇÃO:
Para encontrarmos a distância, basta aplicarmos a fórmula:

Para facilitar nossas contas, vamos transformar o expoente em um número par, pois é mais simples tirar a raiz quadrada assim:
d² = 36 . 10¹ . 10-3
d² = 36 . 10-2
d = 6 . 10-1
d = 0,6 m = 60 cm
RESPOSTA: D
Questão 3
(UFPE) Duas partículas de mesma massa têm cargas Q e 3Q. Sabendo-se que a força gravitacional é desprezível em comparação com a força elétrica, indique qual das figuras melhor representa as acelerações vetoriais das partículas.
RESOLUÇÃO:
Vimos que, para calcular a força elétrica, temos que fazer:

No entanto, essa é a força da carga A em B (FAB), mas também de B em A (FBA). Essas duas forças têm o mesmo módulo, pois trata-se de ação e reação (FAB = FBA). No entanto, repare que são forças de repulsão, pois têm o mesmo sinal.
Se essas forças forem virar forças resultantes, lembre-se de que essa força é dada por:
R = m . a.
Como a força é igual para as duas cargas e também possuem a mesma massa, significa que elas também possuem a mesma aceleração.
Conclusão: elas vão se repelir, acelerando cada uma para um lado.
RESPOSTA: C
Questão 4
(UFPE) O gráfico a seguir mostra a intensidade da força eletrostática entre duas esferas metálicas muito pequenas em função da distância entre o centro das esferas. Se as esferas têm a mesma carga elétrica, qual o valor dessa carga?
a) 0,86 µC
b) 0,43 µC
c) 0,26 µC
d) 0,13 µC
e) 0,07 µC
RESOLUÇÃO:
Novamente, temos que recorrer à fórmula:

Como as cargas são iguais, podemos pegar qualquer ponto do gráfico. Vamos escolher o primeiro ponto, em que a força é 40 µN e a distância é 2 m. Note, no entanto, a unidade dessa força. É preciso convertê-la. Isso posto, vamos lá:

Temos que ajustar tudo isso para que fique mais fácil tirarmos a raiz quadrada:

RESPOSTA: D
Questão 5
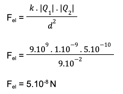
(UNESP) Considere duas pequenas esferas condutoras iguais,separadas pela distância d = 0,3 m. Uma delas possui carga Q1= 1 ×10–9 C e a outra Q2= -5 ×10-10 C. Utilizando 1/(4πε0) = 9 ×109 N.m2/C2,
a) Calcule a força elétrica F de uma esfera sobre a outra,declarando se a força é atrativa ou repulsiva
Como as esferas têm sinais opostos, a força certamente é atrativa. Então, para calculá-la, basta usarmos a fórmula. Note que já podemos colocar a distância em notação científica, para facilitar nossas contas:

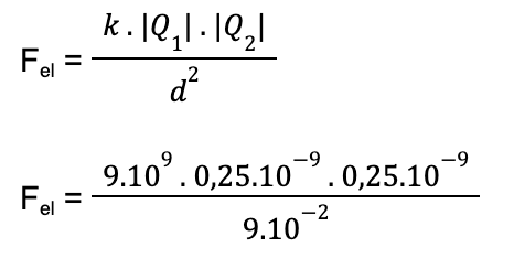
b) A seguir, as esferas são colocadas em contato uma com a outra e recolocadas em suas posições originais. Para esta nova situação, calcule a força elétrica F de uma esfera sobre a outra, declarando se a força é atrativa ou repulsiva.
Quando fazemos o contato entre as esferas, a carga final de uma será igual à da outra, pois são corpos do mesmo tamanho. Então vamos ter que a soma das cargas depois do contato tem que ser igual à soma das cargas depois do contato:
Q’ + Q’ = Q1 + Q2
2Q’ = 1.10-9 – 5.10-10
2Q’ = 1.10-9 – 0,5.10-9
2Q’ = 0,5.10-9
Q’ = 0,25.10-9 C
Agora, precisamos calcular a nova força elétrica:

Além das contas, vou transformar 0,25 . 0,25 em fração, pois facilita minha conta. Isso dá 1/16. Seguindo:

Espero que você tenha entendido um pouco melhor como resolver exercícios de força elétrica. E se quiser praticar mais, confira minha aula sobre Eletrostática para Unicamp e Unesp, em que praticamos muitas questões. Assista:
E se quiser ajuda para melhorar seu nível de Física em outras matérias, entre em contato comigo e escolha o curso de Física mais adequado para você!
SAIBA MAIS
👉 Como estudar Eletricidade para vestibulares paulista
👉 Exercícios resolvidos sobre carga elétrica
👉 Exercícios resolvidos sobre vetores
Me acompanhe nas redes sociais: curta a minha página no Facebook, me siga no Instagram, se inscreva no Youtube e participe do meu canal oficial no Telegram.
